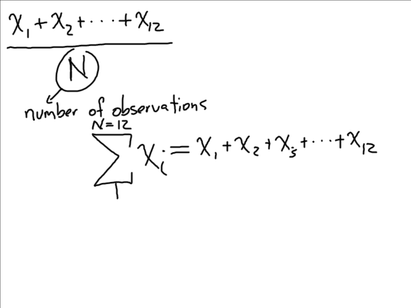
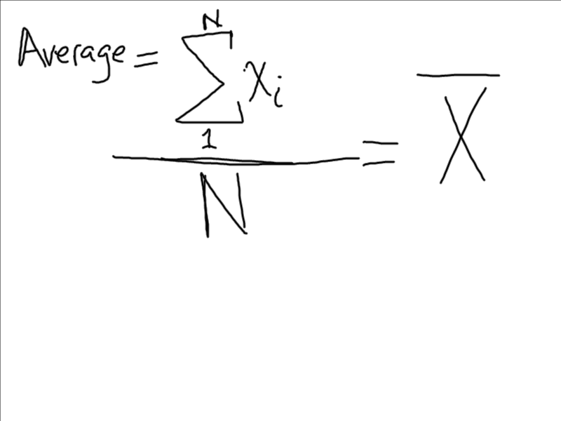
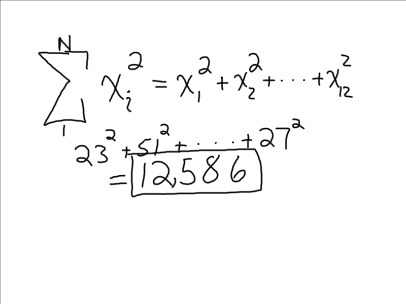
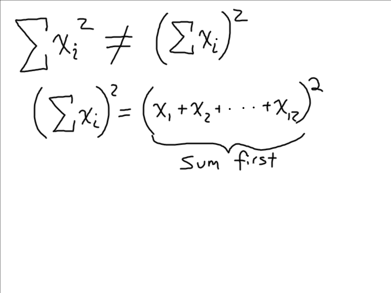
bsad 239lecture notes Statistics – Lecture Notes 1/13/2011 A link to the Excel spreadsheet I made throughout class is below. A link to the images below the fold. In-class Excel Worksheet - 1/13/2011 Previous Next